4. 수용액의 화학

⦁용액(solution) : 두 가지 이상의 순수한 물질이 섞여 단일상을 이루고 있는 혼합물, 용매에 용질이 용해되어 있는 상태
⦁용질(solute) : 용액에서 용매에 용해되어 있는 물질
⦁용매(solvent) : 용질이 용해되는 장(場)이다. 일반적으로 용액에서 제일 많은 부분을 차지하는 것
⦁용해(dissolution) : 용질이 용매에 화학결합을 하면서 골고루 분포되어 있어 용액의 어느 부분을 취하더라도 용질의 농도가 동일하게 되는 현상
⦁용해도(solubility) : 용질이 용매에 용해될 수 있는 최고의 농도
⦁불포화용액(unsaturated solution) : 용질이 용매에 용해도보다 적게 용해되어 있는 용액
⦁포화용액(saturated solution) : 용질이 용매에 용해도만큼 용해되어 있는 용액
⦁과포화용액(supersaturated solution) : 용질이 용매에 용해도 이상으로 용해되어 있는 용액
⦁수용액(aqueous solution) : 용매가 물이 용액
⦁용해열(heat of solution) : 용질이 용매에 용해될 때 방출되거나 흡수되는 열, 즉 엔탈피 변화량
⦁산(acid) : 수소를 내어놓거나, 고립전자쌍을 받아들이는 물질
⦁염기(base) : 수산이온을 내어놓거나, 수소이온을 받아들이거나, 고립전자쌍을 내어놓는 물질
⦁산성(asicity) : 산이 물에 용해되었을 때 나타나는 특성, 즉 수소이온의 농도가 수산이온의 농도보다 더 높으며, 이때의 수소이온농도는 10⁻⁷M보다 큰 상태
⦁중성(neutrality) : 수소이온농도와 수산이온농도가 모두 10⁻⁷M로서 동일한 상태
⦁염기성(basicity) : 염기가 물에 용해되었을 때 나타나는 특성. 수소이온의 농도가 수산이온의 농도보다 더 낮으며, 이때의 수소이온농도는 10⁻⁷M보다 낮은 상태
⦁완충용액(buffer) : 산 혹은 알칼리를 첨가했을 때 pH의 변화를 방지하는 기능을 가지는 용액
⦁적정(titration) : 미지의 양으로 존재하는 산을 중화하는 데 필요한 알칼리의 양으로서 산의 양을 간접적으로 알아내거나, 미지의 양으로 존재하는 알칼리를 중화하는 데 필요한 산의 양으로서 간접적으로 알아내는 것
⦁당량수(equivalents) : 산 혹은 염기성 용액의 노르말농도에 부피(L)를 곱한 값으로 산성 및 염기성 용액으로서의 총기능을 나타낸다.
⦁산화(oxidation) : 전자가 제거되는 반응, 산소와 결합하는 반응, 수소가 제거되는 반응
⦁환원(reduction) : 전자가 첨가되는 반응, 수소와 결합하는 반응
⦁지시약(indicator) : 적정이 완료된 pH에서 색깔이 변화하는 시약

4.1. 용액
ㅇ 용액의 특성 : 증기압, 비점, 빙점, 삼투압
1) 용액의 구성 및 조건
㉮ 용액은 용매와 용질로 구성된다.
㉯ 용매와 용질은 상호 화학결합을 할 수 있어야 한다.
㉰ 극성용매에는 극성물질과 이온성 물질이 용해되며, 비극성용매에는 비극성물질이 용해된다.

2) 용해와 에너지 변화
ㅇ 결합에너지
- 화학결합의 분해 : A - B + 에너지 → A + B
- 화학결합의 형성 : A +B → A - B + 에너지
㉮ 용해과정 중의 에너지 변화는 온도가 올라가거나 낮아지는 형태로 나타나기 때문에 이 에너지 변화는 엔탈피 변화이다.
㉯ 용질이 용매에 용해되기 위해서는 우선 용매분자들 간의 결합, 용질분자들간의 결합이 분해되어 각기 독립적으로 존재해야 한다. 결합이 분해되기 위해서는 에너지가 가해져야 한다. 즉 엔탈피가 증가한다(△H>0).
㉰ 용질과 용매가 결합할 때에는 에너지가 방출된다. 즉 엔탈피가 감소한다(△H<0).
㉱ 용매들 간의 결합 및 용질들 간의 결합이 분해될 때의 엔트로피 증가량과 용질이 용매에 용해될 때 감소한 엔트로피 양의 합이 0보다 크면(반응계로 에너지가 투입된 것) 흡열반응이기 때문에 주위의 온도가 낮아지고, 0보다 작으면(에너지가 방출된 것) 발열반응이기 때문에 주위의 온도가 올라간다. 흡열반응으로 용해하는 경우 가열을 하면 용해도가 높아지고, 발열반응으로 용해하는 경우는 식히면 용해도가 높아진다.
㉲ 용해과정 중의 엔탈피 변화량을 용해열이라 한다.
3) 용해열과 용해도
에너지가 작은 상태가 안정하기 때문에 엔탈피가 감소하는 것이 유리하다. 그러므로 용해하면서 엔탈피가 감소하는(△H <0) 경우가 일반적으로 용해도가 높다.
4) 용액의 총괄적 성질
㉮ 용액의 증기압, 비점, 빙점, 삼투압이 용질과 용매 간의 화학적 결합 양태에의해 결정되는 총괄적 성질이다.
㉯ 증기압 강하량, 비점상승, 빙점내림, 삼투압은 용액의 몰랄농도에 비례한다.
4.2. 물

1) 물의 구조와 특성
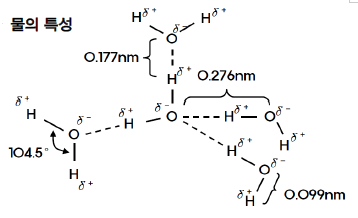
㉮ 물분자는 산소는 전기음성도가 수소보다 크고 고립전자 두쌍을 갖고 있기 때문에 음극성(陰極性)을, 수소가 양극성(陽極性)을 띠는 양극성(兩極性)물질이며, 물분자들 간의 산소(음극성)와 수소(양극성) 간에 수소결합을 형성하면서 존재한다.
㉯ 물은 극성용매이기 때문에 극성, 이온성물질이 용해한다.
㉰ 물은 분자들 간에 수소결합을 하고 있어 비열, 증발열이 높다.
㉱ 물분자 간의 수소결합은 비열이 큰 원인이다(체온 유지에 유리한 원인). 물질에 가해진 에너지는 물질의 운동에너지로 저장되며, 이때 온도가 증가한다. 물은 수소결합을 하기 때문에 운동성이 증가하여 에너지를 축적함으로써 온도가 증가하는데, 물분자끼리 수소결합을 하고 있기 때문에 운동성이 증가하기 위해서는 많은 에너지가 필요하다.

2) 수용액의 pH
(1) 산성, 중성, 염기성
㉮ 산성은 산이 해리(이온화)되어 H+을 내어놓음으로써 나타나는 성질이다.
㉯ 염기성은 염기가 해리되어 OH-을 내어놓음으로써 나타나는 성질이다.
㉰ 중성은 H+의 수가 OH-과 동일한 상태이다.
㉱ 자연계에서 H+만 존재하거나 OH-만 존재하지 않고 이들이 공존한다. 그러므로 산성, 중성, 염기성은 H+과 OH-의 숫자에 의해 결정된다. M(몰농도)가 숫자의 개념을 포함하고 있기 때문에 H+의 몰농도와 OH-의 몰농도를 각기 H+, OH-로 표시하여 산성·염기성·중성을 표현하면 다음과 같다.
산성 : H+ > OH- 염기성 : H+ < OH- 중성 : H+ = OH-

(2) 수용액의 [H+], [OH-]
물이 H+과 OH-으로 해리되는 정도, 산 및 염기의 특성, 물에 산 혹은 염기를 첨가했을 때 H+ 및 OH-가 변화하는 양태에 근거한 수용액의 H+ 및 OH_와 관련한 사실은 다음과 같다.
㉮ 수용액의 H+ × OH- 는 항상 10-14M2이다.
㉯ 중성인 경우는 H+ = OH- =10-7M인 경우밖에 없다. (순수한 물)
㉰ 산성은 H+ > OH- 이므로 H+ > 10-7M이고, OH- < 10-7M이다.
㉱ 염기성은 H+ < OH- 이므로 H+<10-7M이고, OH- > 10-7M이다.
→ 물은 필요에 따라 염기와 산의 기능을 모두 담당할 수 있다
H2O + H2O ⇆ H3CO+ + OH-
물에 산이 첨가되어 용해되면 물은 산이 내놓은 H+를 받아 들여 산이 산으로서의 기능을 할 수 있도록 한다. 이때 물은 염기의 기능을 담당한다.

(3) pH, pOH
H+ 와 OH-는 소수점 이하의 값을 가지기 때문에 표기가 불편하다. pH와 pOH는 H+와 OH- 표기의 불편함을 해결하기 위해 설정한 기호이다.
㉮ pH = -logH+, pOH = -logOH-이며, H+와 OH-의 0보다 매우 작은 복잡한 숫자의 값이 pH, pOH로 변환함으로써 일상적으로 사용하는 편리한 값으로 전환된다.
㉯ 수용액의 H+ × OH-은 항상 10-14M2이므로 pH+pOH는 14이다.
㉰ 산성은 H+ >10-7M, OH-<10-7M이므로 pH<7, pOH>7이다. 알칼리성은 H+ <10-7M, OH->10-7M이므로 pH>7, pOH<7이다. 중성은 H+ = OH- =10-7M이므로 pH=7.0, pOH=7.0이다.
3) 산·염기의 세기
(1) 산

산의 세기는 해리되어 H+을 내어놓는 정도를 나타내는 산해리상수에 의해 판단하며, 산해리상수가 크면 강산, 작으면 약산으로 분류한다. 염산, 질산, 황산은 물에서 거의 대부분 해리되기 때문에 강산이며, 유기산은 극히 일부만 해리되기 때문에 약산이다. 산해리상수는 다음과 같다.
HA+H2O ⇄ A- + H3O+
Keq = A- H3O+/[HA] H2O
Keq [H2O] = A- H3O+ / [HA] = Ka
HA : 산 Keq : 평형상수 Ka : 산해리상수
위 식에서 강산의 경우 HA는 거의 대부분 해리되기 때문에 해리되지 않고 남아 있는 양이 매우 적어 산해리상수(Ka )는 대단히 크다. 약산의 경우 해리되지 않고 남아 있는 산(HA)이 대단히 많기 때문에 산해리상수는 대단히 작다.
(2) 염기
염기의 세기는 해리되어 OH-을 내어놓는 정도를 나타내는 염기해리상수에 의해 판단하며, 염기해리상수가 크면 강염기, 작으면 약염기로 분류한다. 가성소다는 물에서 거의 대부분 해리되기 때문에 강염기이며, 암모니아는 극히 일부만 해리되기 때문에 약염기이다. 염기해리상수는 다음과 같다.
B+H2O ⇄ HB++OHKeq = HB+ OH- / [B][H2O]
Keq [H2O] = HB+ OH- / [B] = Kb
B : 염기 Keq : 평형상수 Kb : 염기해리상수
위 식에서 강염기의 경우 B는 거의 대부분 해리되기 때문에 해리되지 않고 남아 있는 양이 매우 적어 염기해리상수(Kb )는 대단히 크다. 약염기의 경우 해리되지않고 남아 있는 염기(B)가 대단히 많기 때문에 염기해리상수는 대단히 작다.
(3) 산성 및 염기성 수용액의 pH
수용액의 pH는 산 혹은 염기가 생산하는 H+ 와 OH-, 물로부터 생산되는 H+와 OH-를 모두 고려하여 추정할 수 있다.
① 강산, 강염기 수용액
강산, 강염기가 해리되어 생산하는 H+와 OH-가 매우 크기 때문에 물로부터 생산되는 H+와 OH-는 무시해도 무방하다. 그러므로 첨가한 산, 염기로부터 생산되는 H+ 혹은 OH-의 농도와 이 수용액의 H+ 및 OH-를 동일한 것으로 간주하여 pH를 추정할 수 있다.
② 약산, 약염기
약산, 약염기가 해리되어 생산하는 H+와 OH-가 매우 작기 때문에 물로부터 생산되는 H+와 OH-를 고려해야 한다. 약산, 약염기 수용액의 pH는 산해리상수 및 염기해리상수 식에 의해 약산, 약염기로부터 해리되어 생산되는 H+ 혹은 OH-를 구한다. 물이 해리하여 생산되는 H+와 OH-를 고려하면서 수용액에서 (총 수소이온농도)×(총 수산이온농도) = 10-14M2에 근거하여 이 수용액의 H+를 알아낼 수 있으며 H+를 이용하여 pH를 알아낼 수 있다.
4.3. 완충용액
1) 완충용액의 완충능력
-완충용액은 산 혹은 염기를 첨가할 때 생성되는 H+혹은 OH-을 소멸시키는 기능이 있어 pH가 잘 변화하지 않고 일정하게 유지된다. 생물체 체액에 존재하는 단백질과 무기염류들이 완충능력이 있어 체액은 완충용액이다. pH는 물질의 전하상태에 대단히 중요한 영향을 미치며, 물질의 전하상태는 그 물질의 반응성과 직접적인 관계가 있다. 그러므로 체액의 pH는 일정하게 유지되어야 한다.

-완충용액을 실험실에서 제조할 수 있다. 일반적으로 약산과 그 염을 물에 함께 용해하거나, 약염기와 그 염을 물에 함께 용해하여 제조한다. 염은 물에 용해하면 모두 해리되며, 약염기와 약산은 극히 일부만 해리되는데 이러한 특성이 모두 완충용액이 완충능력을 가지는 원인이다.
초산으로 제조한 완충용액의 완충기능을 예로 들면 다음과 같다. 초산(CH3COOH)은 약산이기 때문에 극히 일부만 CH3COO-과 H+으로 해리되고, 대부분은CH3COOH로 존재한다. CH3COONa는 염이기 때문에 모두 CH3COO-과 Na+으로 해리된다. 그러므로 이 완충용액에는 다량의 CH3COOH와 CH3COO-, 소량의 H+이 존재한다. 이 완충용액에 산을 첨가하면 산으로부터 생성된 H+은 다량으로 존재하는 CH3COO-과 반응하여 CH3COOH를 형성한다. CH3COOH는 약산이기 때문에 잘 해리되지 않아 H+이 CH3COOH에 고정되어 소멸된 것이다. 이 완충용액에 염기를 첨가하면 염기로부터 생성된 OH-은 완충용액에 존재하는 H+과 반응하여 H2O를 형성하는데 H2O는 잘 해리되지 않아 OH-이 H2O에 고정되어 소멸된 것이다. 염기로부터 생산된 OH-이 완충용액에 존재하는 Na+과 반응하여 NaOH를 형성할 수 있으나 NaOH는 강염기이기 때문에 생성되는 즉시 Na+과 OH-으로해리되므로 OH-의 소멸기능이 없다.이 완충용액에 H+은 소량 존재하지만 OH-과 반응하여 감소하면 다량으로 존재하는 CH3COOH가 해리되어 H+을 보충한다.
2) 완충용액의 pH
실험실에서 완충용액을 제조할 때 사용하는 약산과 그 염의 농도비율, 혹은 약염기와 그 염의 농도비율을 적절히 함으로써 특정한 pH의 완충용액을 제조할 수 있다.
약산과 그 염으로 제조한 완충용액의 pH는 다음과 같다.

위 식에서 [HA]는 약산의 농도로, [A-]는 그 염의 농도로 대체해도 무방하며,-logKa (pKa )는 각 약산의 고유값이다.
약염기로 제조한 완충용액의 pOH는 다음과 같다.
위 식에서 [B]는 약염기의 농도로, HB+는 그 염의 농도로 대체해도 무방하며,-logKb (pKb )는 각 약염기의 고유값이다. 1) 완충용액의 완충능력
-완충용액은 산 혹은 염기를 첨가할 때 생성되는 H+혹은 OH-을 소멸시키는 기능이 있어 pH가 잘 변화하지 않고 일정하게 유지된다. 생물체 체액에 존재하는 단백질과 무기염류들이 완충능력이 있어 체액은 완충용액이다. pH는 물질의 전하상태에 대단히 중요한 영향을 미치며, 물질의 전하상태는 그 물질의 반응성과 직접적인 관계가 있다. 그러므로 체액의 pH는 일정하게 유지되어야 한다.
-완충용액을 실험실에서 제조할 수 있다. 일반적으로 약산과 그 염을 물에 함께 용해하거나, 약염기와 그 염을 물에 함께 용해하여 제조한다. 염은 물에 용해하면 모두 해리되며, 약염기와 약산은 극히 일부만 해리되는데 이러한 특성이 모두 완충용액이 완충능력을 가지는 원인이다.
초산으로 제조한 완충용액의 완충기능을 예로 들면 다음과 같다. 초산(CH3COOH)은 약산이기 때문에 극히 일부만 CH3COO-과 H+으로 해리되고, 대부분은CH3COOH로 존재한다. CH3COONa는 염이기 때문에 모두 CH3COO-과 Na+으로 해리된다. 그러므로 이 완충용액에는 다량의 CH3COOH와 CH3COO-, 소량의 H+이 존재한다. 이 완충용액에 산을 첨가하면 산으로부터 생성된 H+은 다량으로 존재하는 CH3COO-과 반응하여 CH3COOH를 형성한다. CH3COOH는 약산이기 때문에 잘 해리되지 않아 H+이 CH3COOH에 고정되어 소멸된 것이다. 이 완충용액에 염기를 첨가하면 염기로부터 생성된 OH-은 완충용액에 존재하는 H+과 반응하여 H2O를 형성하는데 H2O는 잘 해리되지 않아 OH-이 H2O에 고정되어 소멸된 것이다. 염기로부터 생산된 OH-이 완충용액에 존재하는 Na+과 반응하여 NaOH를 형성할 수 있으나 NaOH는 강염기이기 때문에 생성되는 즉시 Na+과 OH-으로해리되므로 OH-의 소멸기능이 없다.이 완충용액에 H+은 소량 존재하지만 OH-과 반응하여 감소하면 다량으로 존재하는 CH3COOH가 해리되어 H+을 보충한다.
2) 완충용액의 pH
실험실에서 완충용액을 제조할 때 사용하는 약산과 그 염의 농도비율, 혹은 약염기와 그 염의 농도비율을 적절히 함으로써 특정한 pH의 완충용액을 제조할 수 있다.
약산과 그 염으로 제조한 완충용액의 pH는 다음과 같다.
위 식에서 [HA]는 약산의 농도로, [A-]는 그 염의 농도로 대체해도 무방하며,-logKa (pKa )는 각 약산의 고유값이다.
약염기로 제조한 완충용액의 pOH는 다음과 같다.
위 식에서 [B]는 약염기의 농도로, HB+는 그 염의 농도로 대체해도 무방하며,-logKb (pKb )는 각 약염기의 고유값이다.
4.4. 중화반응과 산-염기 적정

㉮ 중화반응이란 산과 염기가 반응하여 물을 생산하는 반응이다.
㉯ 농도를 모르는 산성용액 혹은 염기성용액에 농도를 알고 있는 염기 혹은 산을 첨가하여 중화될 때까지 소요된 염기 혹은 산의 양으로서 산성용액의 당량수 혹은 염기성용액의 당량수를 알 수 있다. 이를 적정이라 한다. 적정이 완료된 시점은 지시약의 색깔 변화 혹은 pH의 급격한 변화로 알 수 있다.
미지 염기용액의 당량수 = (적정에 사용한 산용액의 부피 L)×(산용액의 노르말농도)
미지 산용액의 당량수 = (적정에 사용한 염기용액의 부피 L)×(염기용액의 노르말농도)
4.5. 산화와 환원
1) 산화반응, 환원반응

㉮ 산화반응은 산소와 반응하거나, 수소가 이탈하거나 다른 물질에 전자를 주는 반응이다.
㉯ 환원반응은 수소와 반응하거나, 산소가 이탈하거나 다른 물질로부터 전자를 받는 반응이다.
→ (Zn, Cu반응) 주어진 반응에서 전자공여자가 환원제이고, 전자수용자가 산화제인 것이다. 산화제 혹은 환원제로서의 특성이 더욱 강한 화합물과 반응하면 전자의 공여, 수요가 바뀔 가능성이 있기 때문에 산화제와 환원제는 주어진 특정 반응에서만 한정되는 것이다(특정 물질의 산화제, 환원제로서의 기능은 반응의 종류에 따라 다를 수 있다).
→ 산화수(oxidation no.)는 개별 원자가 특정 화합물을 형성할 때 전자가 이동한 개수.

2) 생물체 산화-환원반응
㉮ 포화탄화수소가 불포화탄화수소로 전환될 때 전자와 수소이온(수소)이 이탈하기 때문에 산화반응이며 그 역반응은 환원반응이다.
㉯ 알코올이 알데히드로 전환될 때 수소이온과 전자(수소)가 이탈하며, 알데히드가 카르복시산으로 전환될 때 산소와 반응하므로 이 과정이 모두 산화반응이다.
㉰ 세포에서 포도당(영양소)으로부터 에너지가 생산되는 반응은 산화반응인데, 산소의 전기음성도가 매우 높아 영양소에서 전자가 산소로 쉽게 이탈,결합하고, 그 결과로 인하여 에너지 함량이 낮은 이산화탄소와 물로 전환되기 때문에 에너지를 생산할 수 있는 것이다.

(정리1)
용액=용매+용질, 상호 화학결합, 극성용매에는 극성물질과 이온성 물질이 용해, 비극성용매에는 비극성 물질이 용해
용해열 발생 : 용질간 결합 분해 + 용매간 결합 분해 엔탈피 변화량<용질과 용매간 결합의 엔탈피 변화량
물 : 극성용매(극성-산소의 전기음성도가 수소보다 큼, 이온성물질 용해), 수소결합(비열, 증발열 높다-체온유지)
중성 일 때 pH=7, pOH=7 따라서 pH+pOH=14
완충용액 : pH가 잘 변화하지 않고 일정하게 유지, 체액은 완충용액, CH3COOH+CH3COONa 수용액
중화반응 : 산과 염기를 반응하여 물을 생산하는 반응
적정 : 미지의 양으로 존재는 산(염기)을 중화하는데 필요한 알칼리(산)의 양으로서 산(염기)의 양을 알아내는 것
|
구분
|
산소
|
수소
|
전자
|
산화수
|
|
산화
|
결합
|
이탈
|
이탈
|
증가
|
|
환원
|
이탈
|
결합
|
결합
|
감소
|
포도당에서 에너지 생산 : 산화반응, 산소의 전기음성도가 매우 높기 때문. 에너지 함량이 낮은 이산화탄소와 물로 전환되기 때문에 에너지를 생산함
특정 물질의 산화제(산화시키는 물질)·환원제(환원시키는 물질)로서의 기능은 반응의 종류에 따라 다름.
알칸-(2e,2H)→알켄-(2e,2H)→알킨
알코올-(2e,2H)→알데히드+(O)→카르복시산
(정리2)
⦁물이 액체상태에서는 평균 3.4분자의 물들과 결합하지만 고체인 얼음에서는 분자간 결합이 4개로 증가하여 부피가 증가하고, 비중이 낮아진다. 그러므로 얼음은 수면 위로 떠올라 표면이 얼게 된다.
⦁순수한 물에서는 물이 해리하여 동일한 수의 H⁺과 OH⁻이 생성되기 때문에 두 이온의 농도가 동일하므로 중성이다.
⦁수소이온농도는 1보다 작은 매우 번거로운 숫자이다. 이를 pH로 전환하면 일상적으로 사용하는 숫자로 전환되어 사용하기에 편리하다.
⦁분자 간 결합이 분해되기 위해서는 에너지를 가해야 하며 가해진 에너지가 엔탈피 변화랑이다. 분자끼리 결합할 때에는 에너지가 방출되기 때문에 방출된 에너지가 엔탈피 변화이다. 에너지가 흡수되면 주위의 온도가 낮아지고, 에너지가 방출되면 주위의 온도가 올라간다. 즉 열이 방생한다 함은 에너지가 방출되어 주변의 온도가 올라가는 것이다. 용질과 용매의 결합형성 엔탈피 변화량이 용질분자 간 결합분해 엔탈피 변화량과 용매분자 간 결합분해 엔탈피 변화량의 합보다 크면 열이 발생하게 된다.
⦁물이 극성용매인 이유는 물분자가 극성을 가지기 때문이다. 물을 구성하는 산소원자가 수소원자보다 전기음성도 크기 때문에 공유하고 있는 저자쌍이 산소 쪽으로 근접해 있어 산소는 음극성. 수소는 양극성을 가진다. 이 외에 산소가 고립전자를 두 쌍 가지고 있는 것도 극성의 원인이다.
⦁물분자 간에 수소결합을 하고 있기 때문에 운동성이 낮아 온도를 증가하는 데 많은 에너지가 필요하다. 그러므로 체액의 온도가 외부환경 온도의 영향을 많이 받지 않는다.
⦁완충용액은 약산과 그 염, 혹은 약염기와 그 염을 물에 함께 용해하여 제조할 수 있다.
⦁산화제는 다른 물질을 산화하면서 자신은 환원되며, 환원제는 다른 물질을 환원하면서 자신은 산화한다. 한 물질이 산화제의 기능을 가질 것인가 혹은 환원제의 기능을 가질 것인가는 상대 물질의 산화-환원 특성에 의해 결정된다.
<정리2>
1.용액은 용매와 용질로 구성되며, 용매와 용질은 상호 화학결합을 할 수 있어야 한다.
2.용질이 용매에 용해될 때 열이 방출 될 것인가 흡수 될 것인가 여부, 즉 용해열은 용매 분자간의 결합에너지, 용매와 용질 분자간의 결합 에너지의 크기에 의해 결정된다. 열이 방출되는 경우, 즉 용해열이 음수인 경우에는 냉각시켜야 용해가 잘 되고 열이 흡수되는 경우, 즉 용해열이 양수인 경우에는 가열해야 잘 용해된다.
3.용액의 비점, 빙점, 증발열, 삼투압 등 총괄적 성질은 용질의 몰랄농도에 비례한다.
4.물은 양성자를 받을 수도 있고, 양성자를 내어 놓을 수도 있기 때문에 산이 산으로서의 기능을 염기가 염기로서의 기능을 가질 수 있도록 하는 용매이다.
5.수용액의 [H+] X [OH-] 은 항상 10-14M2이다.
6.중성은 [H+] = [OH-] = 10-7M 이며, pH = 7 이다. 산성은 [H+] > [OH-] 이므로 [H+] > 10-7M 이고, [OH-] < 10-7M 이며, pH < 7 이다. 염기성은 [H+] < [OH-] 이므로 [H+] < 10-7M 이고, [OH-] > 10-7M 이며, pH > 7 이다.
7.완충용액은 산 혹은 염기를 첨가할 때 생성되는 H+ 혹은 OH- 을 소멸시키는 기능이 있어 pH가 잘 변화하지 않고 일정하게 유지된다.
8.산화 반응은 산소와 반응하거나, 수소가 이탈하거나, 다른 물질에 전자를 주는 반응이다. 환원 반응은 수소와 반응하거나, 다른 물질에 전자를 받는 반응이다.
[연습문제]
1.호수가 표면으로부터 어는 이유를 설명하시오.
☞물이 액체상태에서는 평균 3.4분자의 물들과 결합을 하지만 고체인 얼음에서는 분자 간 결합이 네 개로 증가하여 부피가 증가고, 비중이 낮아진다. 그러므로 얼음은 수면 위로 떠올라 표면이 얼게 된다.
2. 비극성물질이 물에 용해될 수 없는 이유는 무엇인가?
☞ 물은 극성을 가지고 있어 비극성물질이 결합할 수 없기 때문이다.
3. 소금을 물에 용해시키면 차가워지는 이유는 무엇인가?
☞ 소금분자간의 결합이 분해될 때의 용해열과 물 분자간의 결합이 분해될 때의 용해열의 합이 물분자와 소금분자가 결합할 때의 용해열 보다 많기 때문이다.
4. 순수한 물의 pH가 7인 이유를 설명하시오.
① 중성인 이유 :순수한 물에서는 물이 해리하여 동일한 수의 H+ 와 OH- 생성되기 때문에 두 이온의 농도가 동일하기 때문에 중성이다.
② pH 7 인 이유 : 순수한 물에서 [H+]와[OH-]을 곱한 값(Kw)이 25℃에서 10-14M2이므로
[H+]=[OH-]= 10-14M2=10-7M
pH = -log[H+] = -log10-7= 7
5. 에너지 생산대사에서 영양소가 산소에 의해 잘 산화될 수 있는 이유는 무엇인가?
☞산소는 전기음성도가 높기 때문에 영양소의 전자가 산소로 잘 이동할 수 있기 때문이다.
6. 생물체 체액이 완충기능을 가지고 있는 이유는 무엇인가?
※체내에서 일어나는 대사반응이 일정하게 지속적으로 진행되어야 하기 때문에 체액의 pH가 일정하게 유지되어야 한다.
※ 부족하지만 글의 내용이 도움이 조금이라도 되셨다면, 단 1초만 부탁드려도 될까요? 로그인이 필요없는 하트♥(공감) 눌러서 블로그 운영에 힘을 부탁드립니다. 그럼 오늘도 행복한 하루 되십시오^^
'농업생물화학' 카테고리의 다른 글
| 농업직, 농학과, 화학, 방통대 등 농업생물화학 핵심 요점 정리 6. 생체물질 (3) | 2022.11.24 |
|---|---|
| 농업직, 농학과, 화학, 방통대 등 농업생물화학 핵심 요점 정리 5. 유기화학 (4) | 2022.11.23 |
| 농업직, 농학과, 화학, 방통대 등 농업생물화학 핵심 요점 정리 3. 화학반응 (3) | 2022.11.21 |
| 농업직, 농학과, 화학, 방통대 등 농업생물화학 핵심 요점 정리 2. 화학결합 (7) | 2022.11.20 |
| 농업직, 농학과, 화학, 방통대 등 농업생물화학 핵심 요점 정리 1. 물질의 기본 구성 (5) | 2022.11.20 |